从三无企业到上市公司——兔宝宝董事长丁鸿敏的创业故事
“德华之所以能在一次次大浪淘沙中生存、发...
来源:育儿网(ci1906)
记得在很多古装剧中,居住在皇宫里的贵人们好像随身揣着根银针,吃饭前试一下毒,喝口水试一下毒,凡是入口的都离不开保命小神器——银针!
什么“银针发黑,此羹有毒!”
这小小银针一试,只要发黑则证明此物有毒。

图源@电视剧《甄嬛传》
相信有不少喜欢刷剧的老父亲老母亲们,都知道银针试毒的梗,想不到现实中真有宝妈用银验毒还救娃一命。
西安的一位妈妈看到娃手腕上的银手镯变了色,想到自己在电视剧里看到的“银针试毒”。

图源@西部决策
再加上孩子最近经常哭闹,担心宝宝是中毒了,于是带着娃到医院就医。医生为宝宝做了检查后发现,孩子的尿汞超标数倍!

图源@西部决策
网友们不由地感慨“古人诚不欺我”“银子真的可以试毒啊!”

宝妈的一个电视剧小知识让娃及时得到了治疗,本来大家还对“银针试毒”将信将疑,这下是深信不疑了。
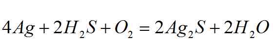
02回归正题,银针真的能试毒吗? 答案是:不能! 这里就得说到“银针试毒”试的是什么毒? 古代的银针试的毒是指“砒霜”,也就是三氧化二砷。 因为生产技术落后,那时候生产的砒霜指定多多少少有些杂质,这些杂质就是硫或者硫化物。 学过化学的都知道,硫和银会发生化学反应,生成黑色的硫化银。 但是,现在的生产技术发展如此迅猛,现代的砒霜基本都是纯粹的、没有杂质的,银针也是检测不到砒霜的! 看到这里,大家能明白了吧,银针验的不是毒,是硫或者硫化物! 不过真有人用银验毒结果遭了殃,还是中毒了。 四川一男子把捡到的野生菌带回家烹饪,为了安全起见还谨慎地把银镯子放到锅里试毒。 图源@长春微视点 眼看镯子没变黑就放心吃了,结果还是被送进医院。 要说银针试毒完全没用那倒也不是,毕竟我们古代毒的种类可太少了!能检测出砒霜也够用了。 不过放在现代,显然银针试毒就太局限了,不含硫的毒像氰化钾、氰化钠那是通通验不出来的。甚至银来检测蛋黄那也是会发黑的,我们也不能说蛋黄有毒吧,人家不过是含有硫而已,也不知道古代有多少因为银针试毒造成的冤假错案。 除了验毒,我们还或多或少都从老一辈的口中听过“带银首饰能排毒,银首饰变黑了说明身上的毒素被吸走了!” 对此麦咭想说,那倒不是因为那个。 人是会出汗的,长期佩戴银首饰必然会接触到汗液,汗液又含有微量的硫元素,硫元素和银饰中的银元素碰撞是会变黑的,加上空气中的氧气也会让银饰氧化变色。 虽说银不能排毒,但确实可以消毒。科学研究表明,每升水只要含有5000万分之一的银离子,就能杀死水中的大部分细菌。所以咱们可以发现市面上许多过滤器和泳池过滤的材质都是银质的。 所以这位宝妈根据宝宝的银镯发黑判断中毒,其实也是误打误撞,毕竟汞和银汞不会发生化学反应,它们的相遇更不会让银变色,何况,银手镯戴久了,接触了小孩子的汗液、被空气氧化,确实容易变黑。 不过宝宝中毒疑似是因为曾经打碎过水银体温计而导致的汞中毒引起网友的关注。 水银体温计里的汞属于常温下的液态汞,如果误食液态汞一般不必顾虑,因为除了存在消化道溃疡的情况下可能会被少量吸收外,我们人体的消化道无法吸收液态汞。 但是,汞蒸气是可以被呼吸道、黏膜、皮肤吸收的,如果打碎水银体温计让汞蒸发是很有可能会中毒的! 这里网友就提到还是因为体温计打碎了没有妥善处理,那么究竟该怎么处理呢? 疏散:疏散所有的人员和动物,远离水银散落的区域 通风:开窗通风,降低汞蒸气在空气中的浓度,建议通风至少24小时再进入。 正确清理:皮肤不要接触到水银,带上橡胶或胶乳手套、带好口罩,仔细收集水银颗粒,可以用胶带粘,将收集好的水银装在密封袋里。处理掉被水银污染的衣服。 世卫组织早在2013年就呼吁大家停止使用水银体温计并提出2020年应淘汰水银器械。 所以麦咭建议家庭中可以用电子体温计、体温枪来取代水银体温计,毕竟咱们也说不准这水银体温计什么时候就碎了,对于家里的娃来说更是一枚定时炸弹。 这个误打误撞的事件告诉我们银首饰虽然不一定能试毒,但汞中毒的风险确实就在娃身边。除了上面提到的水银体温计破碎造成的汞中毒外,还有不少汞中毒的隐患。 银饰试毒听起来固然有趣,但“银针试毒”不可取,跟风需谨慎,有疑似中毒症状还得去医院诊断! 本文来源:育儿网,你的智慧母婴家庭生活方式。本文来自公众号:育儿网(ci1906),转载请联系原作者。





对啦~由于微信订阅号经常改版,大家是不是经常找不到麦咭呀?为了避免错过每天的推送和福利活动大家记得把“麦咭成长说”设置为星标★关注只需要五秒钟哦~


“德华之所以能在一次次大浪淘沙中生存、发...

Prada是一家历史悠久的奢侈品牌,它给...

SAINTLAURENT即将推出.KI...

近日,由优居主办,贝壳战略支持的“时代追...

近年来,老爹鞋火爆全球,成为了时尚圈最常...

据艾瑞发布的《2021中国母婴消费市场趋...
名品导购网(www.mpdaogou.com)ICP证号: 鲁ICP备2025191931号-2
CopyRight 2005-2025 版权所有,未经授权,禁止复制转载。邮箱:mpdaogou@163.com